トップページ > ケミストが作ったお役立ちサイト > 冷えたご飯は太りにくい!?
冷えたおにぎりを食べると太りにくい!? 〜 α-デンプンとβ-デンプンの違いを理解してダイエット〜

デンプンにはα-デンプンとβ-デンプンというのがあります。化学結合は同じなのですが、結晶化度が違います。α-デンプンは温かいごはんに含まれています。ヒトはアミラーゼという消化酵素でα-デンプンを消化吸収できます。一方、β-デンプンは冷えたおにぎりや硬い餅に含まれます。α-デンプンは冷えるとβ-デンプンに変化していくからです。炭水化物はおいしいですが、太ってしまうので注意が必要です。このページでは、同じ1個のおにぎりでもレンジでチンした場合と冷えたままで食べた場合、後者の方が太りにくいというお話を化学的に説明したいと思います。しかし、温かい方が美味しいですよね。まずいのを多めに食べるか、美味しいのを少し食べるか、あなたはどちら派?
デンプンもセルロースもグルコースがつながった高分子


まずデンプンもセルロースの違いについて述べます。
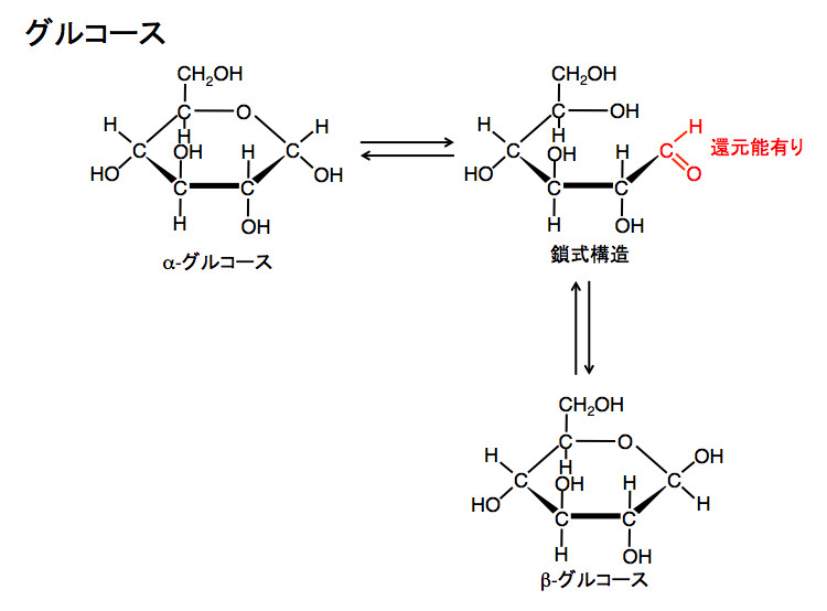
デンプンもセルロースもグルコースが繋がってできたポリマーですが、ヒトはデンプンは消化できてもセルロースは消化できません。これは、私達はデンプンを消化できる酵素を持っていますが、セルロースを消化する酵素は持っていないからです。デンプンもセルロースもグルコースが繋がってできたものなのに、どうして片方は消化できて、もう片方は消化できないのでしょうか(とは言っても消化できないからこそ、食物繊維として腸内を掃除してくれるわけですから、悪いことではありません!)。それは、繋がり方が違うだけです。デンプンはα-グルコースがH2Oがとれる形で繋がっています(α-1,4結合といいます)。一方、セルロースはβ-グルコースがH2Oがとれる形で繋がっています(β-1,4結合といいます)。たったこれだけの違いなのですが、酵素はたったそれだけを正確に認識して、デンプンの方だけを分解してマルトース(麦芽糖、α-グルコースとβ-グルコースが1個と1個繋がったもの)に分解します。だから、ご飯を口の中に含んでいると、アミラーゼにより加水分解されてマルトースになり、甘く感じます。なぜデンプンを消化する酵素でセルロースを消化できないかというと、酵素は基質特異性といって、酵素(触媒であるタンパク質)と基質(酵素によって反応を受ける分子)が鍵と鍵穴の関係が成り立つもの同士しか反応しないようになっているからです。ですから、極端に言えば、例えば10000種類(10000個ではありません)の基質があったら10000種類(10000個ではありません)の酵素が必要になるわけです。
それでは、話をα-デンプンとβ-デンプンに戻します。ここでよく間違う、というか混同してしまうのは、α-デンプンα-1,4結合で、β-デンプンはβ-1,4結合でできているのではないか、ということです。そんなことはありません。あくまでもグルコースがα-1,4結合で繋がっているのがデンプンで、β-1,4結合で繋がっているのがセルロースです。では、α-デンプンとβ-デンプンのαとβはどのような違いがあるかというと、どちらもグルコースがα-1,4結合で繋がっているデンプンなのですが、結晶化度が違うのです。結晶化度が違うということは高分子であるデンプン分子の二次構造が違うのです。二次構造とは何かというと、同じ分子鎖があったとしても、それらの途中でらせんを巻いているところがあったり、隣りの分子との間で相互作用している箇所があったり、特定の形とはいえないランダムな構造をしていたりと、長い高分子の鎖の中で様々な構造をとっ箇所がつながってできています。このそれぞれの箇所がとっている立体構造を二次構造といいます。化学結合(結合のしかた、化学構造、一次構造)が変わったわけではありません。私達がCとかHとかNとかを使ってノートに書いたりする化学式は一次構造ですので、立体的なことは気にせず結合のルールだけに従って自由に書けます。二次構造は立体的なことを気にしなければならないので、ノートに手書きするのは大変です。二次構造をインターネット関係で例えるならば二次構造を有する部分(専門用語ではセグメントといいます)はWordpressのいろいろなプラグインのようなものです。それによってWordpressをいろいろとカスタマイズできますね。カスタマイズしたWordpressが高分子の立体構造(三次構造)に相当します(こんな例えをしたらもっとわかりにくくなるでしょうか?ご容赦ください)。
皆さんは生のサツマイモを食べる事はありませんね。食べても消化できません。なぜならば、含まれているデンプンはβ-デンプンだからです。これを蒸したり焼いたりすれば少し緩んだα-デンプンになります(これを糊化といいます)。私達は糊化したα-デンプンを消化することはできます。
糖質(炭水化物)は美味しいですけど、太りますね。コンビニでおにぎりを買ったとします。冷えていますね。その中にはβ-デンプンがおにぎりを作った時点よりたくさん含まれています。作った当時はあったかいご飯を使ったでしょうからα-デンプンがたくさん含まれていたはずです。
つまり、私達はおにぎりをレンジでチンして食べた方が、チンせずに冷えたおにぎりを食べた場合より太りやすいということになります。
でも、くれぐれも注意してください。仮に冷えたおにぎりの方が太りやすさが半分になったとしても、2倍食べれば同じになりますから。しかも、温かい方が美味しいですよね。冷えたのを2倍食べるか、美味しいのを少し食べるか、あなたはどっちをとりますか。
おいしい焼き芋の作り方、その他
最後に、関連した面白い話をいくつか紹介します。
まずはおいしい焼き芋の作り方です。
できるだけ甘くておいしい焼き芋、蒸し芋を作れるかどうかは、サツマイモの中にあるデンプン糖化酵素(β-アミラーゼ)が失活しないようなぎりぎりの高温(65 ˚C〜75 ˚C)をいかに長く保つかにかかっています。温度が高くなると酵素は失活して触媒活性を失ってしまうからです。α-デンプンをβ-デンプンにするには高温の方がいいですが、あまり温度を上げると酵素が失活してしまうので、そこのせめぎ合いですね。いかにバランスを保つかです。
ごはんを良く噛むと満腹中枢が刺激されるまでに食べる量が少なくなるのでダイエットにも効果的ですし、脳の働きを活発にするなどの体に良い効果もあります。
木はおおむねセルロース50%、ヘミセルロース約30%、リグニン約20%からできているといわれています。ヒトはセルロースを消化する酵素であるセルラーゼを持っていません。そのため、セルロースを食べても消化できません。つまり、栄養にすることはできません。でも草食動物はセルラーゼを持っていないにもかかわらず、セルラーゼを持つ微生物が胃に寄生していることによって、草を食べて繊維質を栄養にできます。
ヒトは繊維質を栄養にできないことを逆手に取って、腸内を掃除しましょう。お馴染みのナタデココの主成分は微生物に作らせたセルロースです。便秘の解消、大腸ガンの予防、コレステロールを減らすなどの効果が期待されています。
次の話題はクエン酸はカルボン酸なのになぜアルカリ性食品なのでしょうか?についてです。
Tweet